1. Levenberg Marquardt Fitting#
1.1. Conventions#
S0 Signal for unbound state
S1 Signal for bound state
K equilibrium constant (Kd or pKa)
order data from unbound to bound (e.g. cl: 0–>150 mM; pH 9–>5)
[1]:
import arviz as az
import corner
import lmfit
import matplotlib.pyplot as plt
import numpy as np
import pandas as pd
import pymc as pm
import scipy
import seaborn as sb
from clophfit.fitting.core import (
DataArray,
Dataset,
fit_binding_glob,
weight_multi_ds_titration,
)
from clophfit.fitting.plotting import plot_emcee, print_emcee
%load_ext autoreload
%autoreload 2
1.2. Single Cl titration.#
[2]:
df = pd.read_table("../../tests/data/copyIP.txt")
df["F"] /= np.max(df["F"])
sb.scatterplot(data=df, x="cl", y="F", hue=df.cl, palette="crest", s=200)
[2]:
<Axes: xlabel='cl', ylabel='F'>

In general we can use either lmfit.minimize() -> res
or lmfit.Minimizer -> mini
.
[3]:
def fz(x, S0, S1, Kd):
return (S0 + S1 * x / Kd) / (1 + x / Kd)
def residual(pars, x, y=None):
S0 = pars["S0"]
S1 = pars["S1"]
Kd = pars["Kd"]
model = fz(x, S0, S1, Kd)
if y is None:
return model
return y - model
params = lmfit.Parameters()
params.add("S0", value=df.F[0], min=0, max=2)
params.add("S1", value=100, min=-0.1, max=2)
params.add("Kd", value=50, min=0, max=200)
res = lmfit.minimize(residual, params, args=(df.cl, df.F))
xdelta = (df.cl.max() - df.cl.min()) / 500
xfit = np.arange(df.cl.min() - xdelta, df.cl.max() + xdelta, xdelta)
yfit = residual(res.params, xfit)
print(lmfit.fit_report(res.params))
plt.plot(df.cl, df.F, "o", xfit, yfit, "-")
[[Variables]]
S0: 1.00381551 +/- 0.00652315 (0.65%) (init = 1)
S1: 0.04204737 +/- 0.00478495 (11.38%) (init = 2)
Kd: 58.3187768 +/- 2.24602959 (3.85%) (init = 50)
[[Correlations]] (unreported correlations are < 0.100)
C(S1, Kd) = -0.7123
C(S0, Kd) = -0.6562
C(S0, S1) = +0.2747
[3]:
[<matplotlib.lines.Line2D at 0x7ff77ba5d6d0>,
<matplotlib.lines.Line2D at 0x7ff77ba5d810>]

[4]:
mini = lmfit.Minimizer(residual, params, fcn_args=(df.cl, df.F))
res = mini.minimize()
ci, tr = lmfit.conf_interval(mini, res, sigmas=[0.68, 0.95], trace=True)
print(lmfit.ci_report(ci, with_offset=False, ndigits=2))
print(lmfit.fit_report(res, show_correl=False, sort_pars=True))
95.00% 68.00% _BEST_ 68.00% 95.00%
S0: 0.99 1.00 1.00 1.01 1.02
S1: 0.02 0.03 0.04 0.05 0.06
Kd: 53.13 55.95 58.32 60.79 64.07
[[Fit Statistics]]
# fitting method = leastsq
# function evals = 43
# data points = 9
# variables = 3
chi-square = 4.6992e-04
reduced chi-square = 7.8320e-05
Akaike info crit = -82.7415766
Bayesian info crit = -82.1499028
[[Variables]]
Kd: 58.3187768 +/- 2.24602959 (3.85%) (init = 50)
S0: 1.00381551 +/- 0.00652315 (0.65%) (init = 1)
S1: 0.04204737 +/- 0.00478495 (11.38%) (init = 2)
[5]:
mini.params.add("__lnsigma", value=np.log(0.1), min=np.log(0.001), max=np.log(2))
emcee_res = mini.emcee(
nwalkers=40,
workers=8,
is_weighted=False,
thin=80,
burn=300,
steps=4000,
progress=False,
)
[6]:
fig = plt.figure(figsize=(7, 7))
f = corner.corner(emcee_res.flatchain.to_numpy(), fig=fig)

[7]:
# Extract parameter values and standard errors from lmfit result
S0_mu = res.params["S0"].value
S1_mu = res.params["S1"].value
Kd_mu = res.params["Kd"].value
S0_std = res.params["S0"].stderr
S1_std = res.params["S1"].stderr
Kd_std = res.params["Kd"].stderr
cov_matrix = res.covar
# Define PyMC3 model
with pm.Model() as model:
# Define multivariate normal priors for parameters
pars = pm.MvNormal("pars", mu=[S0_mu, S1_mu, Kd_mu], cov=cov_matrix, shape=3)
S0 = pars[0]
S1 = pars[1]
Kd = pars[2]
y_pred = pm.Deterministic("y_pred", fz(df.cl.to_numpy(), S0, S1, Kd))
# Define likelihood
likelihood = pm.Normal("likelihood", mu=y_pred, sigma=1, observed=df.F.to_numpy())
# Run the inference
trace = pm.sample(2000, tune=1000, cores=8, progressbar=False)
Initializing NUTS using jitter+adapt_diag...
Multiprocess sampling (8 chains in 8 jobs)
NUTS: [pars]
Sampling 8 chains for 1_000 tune and 2_000 draw iterations (8_000 + 16_000 draws total) took 12 seconds.
[8]:
az.plot_posterior(
trace,
var_names=["pars"],
hdi_prob=0.95,
textsize=11,
round_to=3,
point_estimate="median",
ref_val=[res.params["S0"].value, res.params["S1"].value, res.params["Kd"].value],
figsize=(12, 3),
)
[8]:
array([<Axes: title={'center': 'pars\n0'}>,
<Axes: title={'center': 'pars\n1'}>,
<Axes: title={'center': 'pars\n2'}>], dtype=object)

[9]:
pm.summary(trace)
[9]:
mean | sd | hdi_3% | hdi_97% | mcse_mean | mcse_sd | ess_bulk | ess_tail | r_hat | |
---|---|---|---|---|---|---|---|---|---|
pars[0] | 1.004 | 0.007 | 0.992 | 1.016 | 0.000 | 0.000 | 7815.0 | 9039.0 | 1.0 |
pars[1] | 0.042 | 0.005 | 0.033 | 0.051 | 0.000 | 0.000 | 7611.0 | 8475.0 | 1.0 |
pars[2] | 58.309 | 2.270 | 53.992 | 62.478 | 0.027 | 0.021 | 7110.0 | 7753.0 | 1.0 |
y_pred[0] | 1.004 | 0.007 | 0.992 | 1.016 | 0.000 | 0.000 | 7815.0 | 9039.0 | 1.0 |
y_pred[1] | 0.928 | 0.005 | 0.919 | 0.937 | 0.000 | 0.000 | 9503.0 | 11008.0 | 1.0 |
y_pred[2] | 0.863 | 0.004 | 0.855 | 0.871 | 0.000 | 0.000 | 11746.0 | 11797.0 | 1.0 |
y_pred[3] | 0.758 | 0.005 | 0.749 | 0.767 | 0.000 | 0.000 | 11103.0 | 11712.0 | 1.0 |
y_pred[4] | 0.612 | 0.006 | 0.601 | 0.623 | 0.000 | 0.000 | 9517.0 | 10691.0 | 1.0 |
y_pred[5] | 0.447 | 0.006 | 0.437 | 0.458 | 0.000 | 0.000 | 9384.0 | 10324.0 | 1.0 |
y_pred[6] | 0.259 | 0.004 | 0.252 | 0.266 | 0.000 | 0.000 | 12073.0 | 11136.0 | 1.0 |
y_pred[7] | 0.142 | 0.003 | 0.137 | 0.148 | 0.000 | 0.000 | 13010.0 | 12630.0 | 1.0 |
y_pred[8] | 0.095 | 0.003 | 0.088 | 0.101 | 0.000 | 0.000 | 9207.0 | 10897.0 | 1.0 |
[10]:
f = corner.corner(trace)

[11]:
pm.plot_trace(trace, combined=True, rug=True)
[11]:
array([[<Axes: title={'center': 'pars'}>,
<Axes: title={'center': 'pars'}>],
[<Axes: title={'center': 'y_pred'}>,
<Axes: title={'center': 'y_pred'}>]], dtype=object)

[12]:
def plot_scatter_matrix(res, tr):
names = res.params.keys()
gs = plt.GridSpec(4, 4)
sx = {}
sy = {}
for i, fixed in enumerate(names):
for j, free in enumerate(names):
sharex = sx.get(j)
sharey = sy.get(i)
ax = plt.subplot(gs[i, j], sharex=sharex, sharey=sharey)
if sharex is None:
sx[j] = ax
if sharey is None:
sy[i] = ax
if i < 3:
plt.setp(ax.get_xticklabels(), visible=True)
else:
ax.set_xlabel(free)
if j > 0:
plt.setp(ax.get_yticklabels(), visible=False)
else:
ax.set_ylabel(fixed)
rest = tr[fixed]
prob = rest["prob"]
f = prob < 0.96
x, y = rest[free], rest[fixed]
ax.scatter(x[f], y[f], c=1 - prob[f], s=25 * (1 - prob[f] + 0.5))
ax.autoscale(1, 1)
plot_scatter_matrix(res, tr)

The plots shown below, akin to the examples provided in lmfit documentation, are computationally intensive. They operate under the assumption of a parabolic parameter space. However, it’s worth noting that these plots provide similar information to that yielded by a Monte Carlo simulation.
[13]:
def plot_conf_interval_matrix(res, tr):
names = list(res.params.keys())
plt.figure()
for i in range(3):
for j in range(3):
indx = 9 - j * 3 - i
ax = plt.subplot(3, 3, indx)
ax.ticklabel_format(style="sci", scilimits=(-2, 2), axis="y")
# Set-up labels and tick marks
ax.tick_params(labelleft=False, labelbottom=False)
if indx in (1, 4, 7):
plt.ylabel(names[j])
ax.tick_params(labelleft=True)
if indx == 1:
ax.tick_params(labelleft=True)
if indx in (7, 8, 9):
plt.xlabel(names[i])
ax.tick_params(labelbottom=True)
[label.set_rotation(45) for label in ax.get_xticklabels()]
if i != j:
x, y, m = lmfit.conf_interval2d(mini, res, names[i], names[j], 20, 20)
plt.contourf(x, y, m, np.linspace(0, 1, 10))
x = tr[names[i]][names[i]]
y = tr[names[i]][names[j]]
pr = tr[names[i]]["prob"]
s = np.argsort(x)
plt.scatter(x[s], y[s], c=pr[s], s=30, lw=1)
else:
x = tr[names[i]][names[i]]
y = tr[names[i]]["prob"]
t, s = np.unique(x, True)
f = scipy.interpolate.interp1d(t, y[s], "slinear")
xn = np.linspace(x.min(), x.max(), 50)
plt.plot(xn, f(xn), lw=1)
plt.ylabel("prob")
ax.tick_params(labelleft=True)
plt.tight_layout()
plot_conf_interval_matrix(res, tr)

[14]:
def plot_conf_intervals(mini, res):
# Report fit parameters
lmfit.report_fit(res.params, min_correl=0.25)
# Calculate confidence intervals and traces
ci, trace = lmfit.conf_interval(mini, res, sigmas=[1, 2], trace=True)
lmfit.printfuncs.report_ci(ci)
# Create subplots
_fig, axes = plt.subplots(2, 2, figsize=(12.8, 9.6), sharey=True)
# Plot scatter plots for S0 and S1
plot_scatter_trace(axes[0][0], trace["S0"], "S0", "Kd")
plot_scatter_trace(axes[0][1], trace["S1"], "S1", "Kd")
# Plot 2D confidence intervals for S0 and S1
plot_2d_conf_interval(axes[1][0], mini, res, "S0", "Kd")
plot_2d_conf_interval(axes[1][1], mini, res, "S1", "Kd")
plt.tight_layout()
def plot_scatter_trace(ax, trace_data, xlabel, ylabel):
cx, cy, prob = trace_data[xlabel], trace_data[ylabel], trace_data["prob"]
ax.scatter(cx, cy, c=prob, s=30)
ax.set_xlabel(xlabel)
ax.set_ylabel(ylabel)
def plot_2d_conf_interval(ax, mini, res, xparam, yparam):
# Calculate 2D confidence interval
cx, cy, grid = lmfit.conf_interval2d(mini, res, xparam, yparam, 30, 30)
# Plot the contourf with a colorbar
ctp = ax.contourf(cx, cy, grid, np.linspace(0, 1, 11))
fig = ax.figure
fig.colorbar(ctp, ax=ax)
ax.set_xlabel(xparam)
ax.set_ylabel(yparam)
plot_conf_intervals(mini, res)
[[Variables]]
S0: 1.00381551 +/- 0.00652315 (0.65%) (init = 1)
S1: 0.04204737 +/- 0.00478495 (11.38%) (init = 2)
Kd: 58.3187768 +/- 2.24602959 (3.85%) (init = 50)
[[Correlations]] (unreported correlations are < 0.250)
C(S1, Kd) = -0.7123
C(S0, Kd) = -0.6562
C(S0, S1) = +0.2747
95.45% 68.27% _BEST_ 68.27% 95.45%
S0: -0.01626 -0.00708 1.00382 +0.00712 +0.01647
S1: -0.02009 -0.00857 0.04205 +0.00875 +0.01988
Kd: -5.32871 -2.37867 58.31878 +2.49056 +5.92497

[15]:
f, ax = plt.subplots(1, 1)
plot_2d_conf_interval(ax, mini, res, "S0", "S1")

1.2.1. Using clophfit.fitting#
[16]:
da = DataArray(df["cl"].to_numpy(), df["F"].to_numpy())
ds = Dataset.from_da(da)
weight_multi_ds_titration(ds)
f_res = fit_binding_glob(ds)
f_res.figure
[16]:

[17]:
emcee_res = f_res.mini.emcee(
steps=3000, burn=300, workers=8, nwalkers=30, seed=1, progress=False
)
plot_emcee(emcee_res.flatchain)
print_emcee(emcee_res)
The chain is shorter than 50 times the integrated autocorrelation time for 3 parameter(s). Use this estimate with caution and run a longer chain!
N/50 = 60;
tau: [98.06551952 63.16598997 97.66342074]
Maximum Likelihood Estimation from emcee
-------------------------------------------------
Parameter MLE Value Median Value Uncertainty
K 58.31879 58.34677 0.63780
S0_default 1.00380 1.00383 0.00184
S1_default 0.04217 0.04205 0.00227
Error estimates from emcee:
------------------------------------------------------
Parameter -2sigma -1sigma median +1sigma +2sigma
K 57.0693 57.7129 58.3468 58.9888 59.5966
S0_default 1.0001 1.0019 1.0038 1.0056 1.0073
S1_default 0.0375 0.0398 0.0420 0.0443 0.0465
Maximum Likelihood Estimation (MLE):
----------------------------------
K: 58.319
S0_default: 1.004
S1_default: 0.042
1 sigma spread = 0.638
2 sigma spread = 1.290

[18]:
emcee_res.flatchain.describe()
[18]:
K | S0_default | S1_default | |
---|---|---|---|
count | 81000.000000 | 81000.000000 | 81000.000000 |
mean | 58.350361 | 1.003804 | 0.042065 |
std | 0.642355 | 0.001846 | 0.002271 |
min | 55.897535 | 0.995657 | 0.031368 |
25% | 57.915808 | 1.002570 | 0.040534 |
50% | 58.346770 | 1.003830 | 0.042049 |
75% | 58.779289 | 1.005055 | 0.043581 |
max | 61.319147 | 1.011291 | 0.051221 |
1.3. Fit titration with multiple datasets#
For example data collected with multiple labelblocks in Tecan plate reader.
“A01”: pH titration with y1 and y2.
[19]:
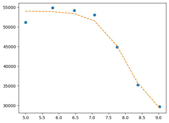
df = pd.read_csv("../../tests/data/A01.dat", sep=" ", names=["x", "y1", "y2"])
df = df[::-1].reset_index(drop=True)
df
[19]:
x | y1 | y2 | |
---|---|---|---|
0 | 9.030000 | 29657.0 | 22885.0 |
1 | 8.373333 | 35200.0 | 16930.0 |
2 | 7.750000 | 44901.0 | 9218.0 |
3 | 7.073333 | 53063.0 | 3758.0 |
4 | 6.460000 | 54202.0 | 2101.0 |
5 | 5.813333 | 54851.0 | 1542.0 |
6 | 4.996667 | 51205.0 | 1358.0 |
1.3.1. lmfit of single y1 using analytical Jacobian#
It computes the Jacobian of the fz. Mind that the residual (i.e. y - fz) will be actually minimized.
[20]:
import sympy
x, S0_1, S1_1, K = sympy.symbols("x S0_1 S1_1 K")
f = (S0_1 + S1_1 * 10 ** (K - x)) / (1 + 10 ** (K - x))
print(sympy.diff(f, S0_1))
print(sympy.diff(f, S1_1))
print(sympy.diff(f, K))
1/(10**(K - x) + 1)
10**(K - x)/(10**(K - x) + 1)
10**(K - x)*S1_1*log(10)/(10**(K - x) + 1) - 10**(K - x)*(10**(K - x)*S1_1 + S0_1)*log(10)/(10**(K - x) + 1)**2
[21]:
x, S0, S1, K = sympy.symbols("x S0 S1 K")
f = S0 + (S1 - S0) * x / K / (1 + x / K)
sympy.diff(f, S0)
[21]:
[22]:
sympy.diff(f, S1)
[22]:
[23]:
sympy.diff(f, K)
[23]:
[24]:
# if is_ph:
f = S0 + (S1 - S0) * 10 ** (K - x) / (1 + 10 ** (K - x))
sympy.diff(f, S0)
[24]:
[25]:
sympy.diff(f, S1)
[25]:
[26]:
sympy.diff(f, K)
[26]:
[27]:
def residual(pars, x, data):
S0 = pars["S0"]
S1 = pars["S1"]
K = pars["K"]
# model = (S0 + S1 * x / Kd) / (1 + x / Kd)
x = np.array(x)
y = np.array(data)
model = (S0 + S1 * 10 ** (K - x)) / (1 + 10 ** (K - x))
if data is None:
return model
return y - model
# Try Jacobian
def dfunc(pars, x, data=None):
if data is None:
pass
S0_1 = pars["S0"]
S1_1 = pars["S1"]
K = pars["K"]
kx = np.array(10 ** (K - x))
return np.array(
[
-1 / (kx + 1),
-kx / (kx + 1),
-kx * np.log(10) * (S1_1 / (kx + 1) - (kx * S1_1 + S0_1) / (kx + 1) ** 2),
]
)
params = lmfit.Parameters()
params.add("S0", value=25000)
params.add("S1", value=50000, min=0.0)
params.add("K", value=7, min=2.0, max=12.0)
mini = lmfit.Minimizer(residual, params, fcn_args=(df.x,), fcn_kws={"data": df.y1})
res = mini.leastsq(Dfun=dfunc, col_deriv=True, ftol=1e-8)
print(lmfit.report_fit(res))
ci = lmfit.conf_interval(mini, res, sigmas=[1, 2, 3])
[[Fit Statistics]]
# fitting method = leastsq
# function evals = 9
# data points = 7
# variables = 3
chi-square = 12308015.2
reduced chi-square = 3077003.79
Akaike info crit = 106.658958
Bayesian info crit = 106.496688
[[Variables]]
S0: 26638.8377 +/- 2455.91825 (9.22%) (init = 25000)
S1: 54043.3592 +/- 979.995977 (1.81%) (init = 50000)
K: 8.06961091 +/- 0.14940678 (1.85%) (init = 7)
[[Correlations]] (unreported correlations are < 0.100)
C(S0, K) = -0.7750
C(S1, K) = -0.4552
C(S0, S1) = +0.2046
None
[28]:
print(lmfit.ci_report(ci, with_offset=False, ndigits=2))
99.73% 95.45% 68.27% _BEST_ 68.27% 95.45% 99.73%
S0:-58596.9018262.4323743.2826638.8429197.6132638.1538999.44
S1:47850.5551309.0552945.1454043.3655156.5456872.9060768.74
K : 7.09 7.67 7.91 8.07 8.23 8.50 9.58
1.3.2. using lmfit with np.r_ trick#
[29]:
def residual2(pars, x, data=None):
K = pars["K"]
S0_1 = pars["S0_1"]
S1_1 = pars["S1_1"]
S0_2 = pars["S0_2"]
S1_2 = pars["S1_2"]
model_0 = (S0_1 + S1_1 * 10 ** (K - x[0])) / (1 + 10 ** (K - x[0]))
model_1 = (S0_2 + S1_2 * 10 ** (K - x[1])) / (1 + 10 ** (K - x[1]))
if data is None:
return np.r_[model_0, model_1]
return np.r_[data[0] - model_0, data[1] - model_1]
params2 = lmfit.Parameters()
params2.add("K", value=7.0, min=2.0, max=12.0)
params2.add("S0_1", value=df.y1[0], min=0.0)
params2.add("S0_2", value=df.y2[0], min=0.0)
params2.add("S1_1", value=df.y1.iloc[-1], min=0.0)
params2.add("S1_2", value=df.y2.iloc[-1], min=0.0)
mini2 = lmfit.Minimizer(
residual2, params2, fcn_args=([df.x, df.x],), fcn_kws={"data": [df.y1, df.y2]}
)
res2 = mini2.minimize()
print(lmfit.fit_report(res2))
ci2, tr2 = lmfit.conf_interval(mini2, res2, sigmas=[0.68, 0.95], trace=True)
print(lmfit.ci_report(ci2, with_offset=False, ndigits=2))
[[Fit Statistics]]
# fitting method = leastsq
# function evals = 37
# data points = 14
# variables = 5
chi-square = 12471473.3
reduced chi-square = 1385719.25
Akaike info crit = 201.798560
Bayesian info crit = 204.993846
[[Variables]]
K: 8.07255029 +/- 0.07600777 (0.94%) (init = 7)
S0_1: 26601.3458 +/- 1425.69913 (5.36%) (init = 29657)
S0_2: 25084.4189 +/- 1337.07982 (5.33%) (init = 22885)
S1_1: 54034.5806 +/- 627.642479 (1.16%) (init = 51205)
S1_2: 1473.57871 +/- 616.944649 (41.87%) (init = 1358)
[[Correlations]] (unreported correlations are < 0.100)
C(K, S0_1) = -0.6816
C(K, S0_2) = +0.6255
C(S0_1, S0_2) = -0.4264
C(K, S1_1) = -0.3611
C(K, S1_2) = +0.3161
C(S0_2, S1_1) = -0.2259
C(S0_1, S1_2) = -0.2155
C(S1_1, S1_2) = -0.1141
95.00% 68.00% _BEST_ 68.00% 95.00%
K : 7.91 7.99 8.07 8.15 8.24
S0_1:23210.9025078.6226601.3528045.4929623.53
S0_2:22232.9723723.9425084.4226514.8828263.75
S1_1:52629.0453378.2454034.5854695.2655460.17
S1_2: 72.04 824.011473.582118.982855.89
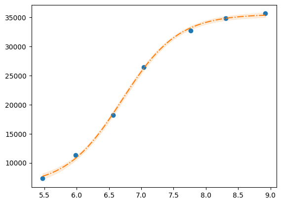
[30]:
xfit = np.linspace(df.x.min(), df.x.max(), 100)
yfit0 = residual2(params2, [xfit, xfit])
yfit0 = yfit0.reshape(2, 100)
yfit = residual2(res2.params, [xfit, xfit])
yfit = yfit.reshape(2, 100)
plt.plot(df.x, df.y1, "o", df.x, df.y2, "s")
plt.plot(xfit, yfit[0], "-", xfit, yfit[1], "-")
plt.plot(xfit, yfit0[0], "--", xfit, yfit0[1], "--")
plt.grid(True)

1.3.3. lmfit constraints aiming for generality#
I believe a name convention would be more robust than relying on OrderedDict Params object.
[31]:
["S0", "1"][0]
[31]:
'S0'
[32]:
def exception_fcn_handler(func):
def inner_function(*args, **kwargs):
try:
return func(*args, **kwargs)
except TypeError:
print(
f"{func.__name__} only takes (1D) vector as argument besides lmfit.Parameters."
)
return inner_function
@exception_fcn_handler
def titration_pH(params, pH):
p = {k.split("_")[0]: v for k, v in params.items()}
return (p["S0"] + p["S1"] * 10 ** (p["K"] - pH)) / (1 + 10 ** (p["K"] - pH))
def residues(params, x, y, fcn):
return y - fcn(params, x)
p1 = lmfit.Parameters()
p2 = lmfit.Parameters()
p1.add("K_1", value=7.0, min=2.0, max=12.0)
p2.add("K_2", value=7.0, min=2.0, max=12.0)
p1.add("S0_1", value=df.y1.iloc[0], min=0.0)
p2.add("S0_2", value=df.y2.iloc[0], min=0.0)
p1.add("S1_1", value=df.y1.iloc[-1], min=0.0)
p2.add("S1_2", value=df.y2.iloc[-1])
print(
residues(p1, np.array(df.x), [1.97, 1.8, 1.7, 0.1, 0.1, 0.16, 0.01], titration_pH)
)
def gobjective(params, xl, yl, fcnl):
nset = len(xl)
res = []
for i in range(nset):
pi = {k: v for k, v in params.valuesdict().items() if k[-1] == f"{i + 1}"}
res = np.r_[res, residues(pi, xl[i], yl[i], fcnl[i])]
# res = np.r_[res, yl[i] - fcnl[i](parsl[i], x[i])]
return res
print(gobjective(p1 + p2, [df.x, df.x], [df.y1, df.y2], [titration_pH, titration_pH]))
[-29854.26823732 -30530.32007939 -32908.60749879 -39523.42660007
-46381.47878947 -49888.5091843 -50993.25866394]
[ -199.23823732 4667.87992061 11990.69250121 13539.47339993
7820.42121053 4962.3308157 211.73133606 199.04406603
-5080.73278499 -10416.86307191 -9270.08900503 -4075.72045662
-1131.04796128 -211.52498939]
Here single.
[33]:
mini = lmfit.Minimizer(
residues,
p1,
fcn_args=(
df.x,
df.y1,
titration_pH,
),
)
res = mini.minimize()
fit = titration_pH(res.params, df.x)
print(lmfit.report_fit(res))
plt.plot(df.x, df.y1, "o", df.x, fit, "--")
ci = lmfit.conf_interval(mini, res, sigmas=[1, 2])
lmfit.printfuncs.report_ci(ci)
[[Fit Statistics]]
# fitting method = leastsq
# function evals = 25
# data points = 7
# variables = 3
chi-square = 12308015.2
reduced chi-square = 3077003.79
Akaike info crit = 106.658958
Bayesian info crit = 106.496688
[[Variables]]
K_1: 8.06961042 +/- 0.14940740 (1.85%) (init = 7)
S0_1: 26638.8440 +/- 2455.92762 (9.22%) (init = 29657)
S1_1: 54043.3607 +/- 979.995185 (1.81%) (init = 51205)
[[Correlations]] (unreported correlations are < 0.100)
C(K_1, S0_1) = -0.7750
C(K_1, S1_1) = -0.4552
C(S0_1, S1_1) = +0.2046
None
95.45% 68.27% _BEST_ 68.27% 95.45%
K_1 : -0.40197 -0.15948 8.06961 +0.16276 +0.42592
S0_1:-8376.39586-2895.5681226638.84401+2558.76794+5999.32366
S1_1:-2734.30835-1098.2218354043.36069+1113.18102+2829.55353

Now global.
[34]:
pg = p1 + p2
pg["K_2"].expr = "K_1"
gmini = lmfit.Minimizer(
gobjective,
pg,
fcn_args=([df.x[:], df.x], [df.y1[:], df.y2], [titration_pH, titration_pH]),
)
gres = gmini.minimize()
print(lmfit.fit_report(gres))
pp1 = {k: v for k, v in gres.params.valuesdict().items() if k.split("_")[1] == f"{1}"}
pp2 = {k: v for k, v in gres.params.valuesdict().items() if k.split("_")[1] == f"{2}"}
xfit = np.linspace(df.x.min(), df.x.max(), 100)
yfit1 = titration_pH(pp1, xfit)
yfit2 = titration_pH(pp2, xfit)
plt.plot(df.x, df.y1, "o", xfit, yfit1, "--")
plt.plot(df.x, df.y2, "s", xfit, yfit2, "--")
[[Fit Statistics]]
# fitting method = leastsq
# function evals = 37
# data points = 14
# variables = 5
chi-square = 12471473.3
reduced chi-square = 1385719.25
Akaike info crit = 201.798560
Bayesian info crit = 204.993846
[[Variables]]
K_1: 8.07255029 +/- 0.07600777 (0.94%) (init = 7)
S0_1: 26601.3458 +/- 1425.69913 (5.36%) (init = 29657)
S1_1: 54034.5806 +/- 627.642480 (1.16%) (init = 51205)
K_2: 8.07255029 +/- 0.07600777 (0.94%) == 'K_1'
S0_2: 25084.4189 +/- 1337.07982 (5.33%) (init = 22885)
S1_2: 1473.57871 +/- 616.944649 (41.87%) (init = 1358)
[[Correlations]] (unreported correlations are < 0.100)
C(K_1, S0_1) = -0.6816
C(K_1, S0_2) = +0.6255
C(S0_1, S0_2) = -0.4264
C(K_1, S1_1) = -0.3611
C(K_1, S1_2) = +0.3161
C(S1_1, S0_2) = -0.2259
C(S0_1, S1_2) = -0.2155
C(S1_1, S1_2) = -0.1141
[34]:
[<matplotlib.lines.Line2D at 0x7ff764de3610>,
<matplotlib.lines.Line2D at 0x7ff764de3750>]

[35]:
ci = lmfit.conf_interval(gmini, gres)
print(lmfit.ci_report(ci, with_offset=False, ndigits=2))
99.73% 95.45% 68.27% _BEST_ 68.27% 95.45% 99.73%
K_1 : 7.77 7.90 7.99 8.07 8.15 8.25 8.38
S0_1:20066.1223118.2625069.3726601.3528053.8229696.8331876.24
S1_1:51504.2152593.4753374.3654034.5854699.1855496.7856630.81
S0_2:20096.2422163.6223716.0825084.4226523.5528350.2131192.55
S1_2:-1078.82 36.05 820.171473.582122.782890.883962.77
To plot ci for the 5 parameters.
[36]:
fig, axes = plt.subplots(1, 4, figsize=(24.2, 4.8), sharey=True)
cx, cy, grid = lmfit.conf_interval2d(gmini, gres, "S0_1", "K_1", 25, 25)
ctp = axes[0].contourf(cx, cy, grid, np.linspace(0, 1, 11))
fig.colorbar(ctp, ax=axes[0])
axes[0].set_xlabel("SA1")
axes[0].set_ylabel("pK1")
cx, cy, grid = lmfit.conf_interval2d(gmini, gres, "S0_2", "K_1", 25, 25)
ctp = axes[1].contourf(cx, cy, grid, np.linspace(0, 1, 11))
fig.colorbar(ctp, ax=axes[1])
axes[1].set_xlabel("SA2")
axes[1].set_ylabel("pK1")
cx, cy, grid = lmfit.conf_interval2d(gmini, gres, "S1_1", "K_1", 25, 25)
ctp = axes[2].contourf(cx, cy, grid, np.linspace(0, 1, 11))
fig.colorbar(ctp, ax=axes[2])
axes[2].set_xlabel("SB1")
axes[2].set_ylabel("pK1")
cx, cy, grid = lmfit.conf_interval2d(gmini, gres, "S1_2", "K_1", 25, 25)
ctp = axes[3].contourf(cx, cy, grid, np.linspace(0, 1, 11))
fig.colorbar(ctp, ax=axes[3])
axes[3].set_xlabel("SB2")
axes[3].set_ylabel("pK1")
[36]:
Text(0, 0.5, 'pK1')

[37]:
plt.plot(np.r_[df.x, df.x], gres.residual, "o")
std = gres.residual.std()
for i in range(-3, 4):
plt.hlines(i * std, 5, 9, alpha=0.4)
print(std)
943.8323579301886

This next block comes from: https://lmfit.github.io/lmfit-py/examples/example_emcee_Model_interface.html?highlight=emcee
1.3.4. lmfit.Model#
It took 9 vs 5 ms. It is not possible to do global fitting. In the documentation it is stressed the need to convert the output of the residue to be 1D vectors.
[38]:
mod = lmfit.models.ExpressionModel("(SB + SA * 10**(pK-x)) / (1 + 10**(pK-x))")
result = mod.fit(np.array(df.y1), x=np.array(df.x), pK=7, SB=7e3, SA=10000)
print(result.fit_report())
[[Model]]
<lmfit.ExpressionModel('(SB + SA * 10**(pK-x)) / (1 + 10**(pK-x))')>
[[Fit Statistics]]
# fitting method = leastsq
# function evals = 44
# data points = 7
# variables = 3
chi-square = 12308015.2
reduced chi-square = 3077003.79
Akaike info crit = 106.658958
Bayesian info crit = 106.496688
R-squared = 0.97973543
[[Variables]]
SB: 26638.9314 +/- 2456.05773 (9.22%) (init = 7000)
SA: 54043.3812 +/- 979.984193 (1.81%) (init = 10000)
pK: 8.06960356 +/- 0.14941163 (1.85%) (init = 7)
[[Correlations]] (unreported correlations are < 0.100)
C(SB, pK) = -0.7750
C(SA, pK) = -0.4552
C(SB, SA) = +0.2046
[39]:
plt.plot(df.x, df.y1, "o")
plt.plot(df.x, result.init_fit, "--", label="initial fit")
plt.plot(df.x, result.best_fit, "-", label="best fit")
plt.legend()
[39]:
<matplotlib.legend.Legend at 0x7ff764711950>

[40]:
print(result.ci_report())
99.73% 95.45% 68.27% _BEST_ 68.27% 95.45% 99.73%
SB:-85235.83517-8376.49744-2895.6555126638.93141+2558.68054+5999.21905+12360.51318
SA:-6192.83614-2734.32819-1098.2423854043.38116+1113.16062+2829.52103+6725.35644
pK: -0.98138 -0.40196 -0.15948 8.06960 +0.16277 +0.42592 +1.50919
which is faster but still I failed to find the way to global fitting.
[41]:
def tit_pH(x, S0, S1, K):
return (S0 + S1 * 10 ** (K - x)) / (1 + 10 ** (K - x))
tit_model1 = lmfit.Model(tit_pH, prefix="ds1_")
tit_model2 = lmfit.Model(tit_pH, prefix="ds2_")
print(f"parameter names: {tit_model1.param_names}")
print(f"parameter names: {tit_model2.param_names}")
print(f"independent variables: {tit_model1.independent_vars}")
print(f"independent variables: {tit_model2.independent_vars}")
tit_model1.set_param_hint("K", value=7.0, min=2.0, max=12.0)
tit_model1.set_param_hint("S0", value=df.y1[0], min=0.0)
tit_model1.set_param_hint("S1", value=df.y1.iloc[-1], min=0.0)
tit_model2.set_param_hint("K", value=7.0, min=2.0, max=12.0)
tit_model2.set_param_hint("S0", value=df.y1[0], min=0.0)
tit_model2.set_param_hint("S1", value=df.y1.iloc[-1], min=0.0)
pars1 = tit_model1.make_params()
pars2 = tit_model2.make_params()
# gmodel = tit_model1 + tit_model2
# result = gmodel.fit(df.y1 + df.y2, pars, x=df.x)
res1 = tit_model1.fit(df.y1, pars1, x=df.x)
res2 = tit_model2.fit(df.y2, pars2, x=df.x)
print(res1.fit_report())
print(res2.fit_report())
parameter names: ['ds1_S0', 'ds1_S1', 'ds1_K']
parameter names: ['ds2_S0', 'ds2_S1', 'ds2_K']
independent variables: ['x']
independent variables: ['x']
[[Model]]
Model(tit_pH, prefix='ds1_')
[[Fit Statistics]]
# fitting method = leastsq
# function evals = 25
# data points = 7
# variables = 3
chi-square = 12308015.2
reduced chi-square = 3077003.79
Akaike info crit = 106.658958
Bayesian info crit = 106.496688
R-squared = 0.97973543
[[Variables]]
ds1_S0: 26638.8440 +/- 2455.92762 (9.22%) (init = 29657)
ds1_S1: 54043.3607 +/- 979.995185 (1.81%) (init = 51205)
ds1_K: 8.06961042 +/- 0.14940740 (1.85%) (init = 7)
[[Correlations]] (unreported correlations are < 0.100)
C(ds1_S0, ds1_K) = -0.7750
C(ds1_S1, ds1_K) = -0.4552
C(ds1_S0, ds1_S1) = +0.2046
[[Model]]
Model(tit_pH, prefix='ds2_')
[[Fit Statistics]]
# fitting method = leastsq
# function evals = 33
# data points = 7
# variables = 3
chi-square = 159980.530
reduced chi-square = 39995.1326
Akaike info crit = 76.2582808
Bayesian info crit = 76.0960112
R-squared = 0.99963719
[[Variables]]
ds2_S0: 25135.9942 +/- 282.133911 (1.12%) (init = 29657)
ds2_S1: 1485.53168 +/- 111.549888 (7.51%) (init = 51205)
ds2_K: 8.07721983 +/- 0.01980096 (0.25%) (init = 7)
[[Correlations]] (unreported correlations are < 0.100)
C(ds2_S0, ds2_K) = +0.7768
C(ds2_S1, ds2_K) = +0.4545
C(ds2_S0, ds2_S1) = +0.2051
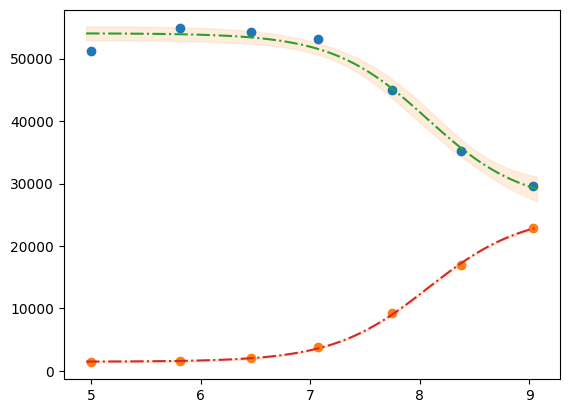
[42]:
xfit_delta = (df.x.max() - df.x.min()) / 100
xfit = np.arange(df.x.min() - xfit_delta, df.x.max() + xfit_delta, xfit_delta)
dely1 = res1.eval_uncertainty(x=xfit) * 1
dely2 = res2.eval_uncertainty(x=xfit) * 1
best_fit1 = res1.eval(x=xfit)
best_fit2 = res2.eval(x=xfit)
plt.plot(df.x, df.y1, "o")
plt.plot(df.x, df.y2, "o")
plt.plot(xfit, best_fit1, "-.")
plt.plot(xfit, best_fit2, "-.")
plt.fill_between(xfit, best_fit1 - dely1, best_fit1 + dely1, color="#FEDCBA", alpha=0.5)
plt.fill_between(xfit, best_fit2 - dely2, best_fit2 + dely2, color="#FEDCBA", alpha=0.5)
[42]:
<matplotlib.collections.FillBetweenPolyCollection at 0x7ff764842710>

Please mind the difference in the uncertainty between the 2 label blocks.
[43]:
def tit_pH2(x, S0_1, S0_2, S1_1, S1_2, K):
y1 = (S0_1 + S1_1 * 10 ** (K - x)) / (1 + 10 ** (K - x))
y2 = (S0_2 + S1_2 * 10 ** (K - x)) / (1 + 10 ** (K - x))
# return y1, y2
return np.r_[y1, y2]
tit_model = lmfit.Model(tit_pH2)
tit_model.set_param_hint("K", value=7.0, min=2.0, max=12.0)
tit_model.set_param_hint("S0_1", value=df.y1[0], min=0.0)
tit_model.set_param_hint("S0_2", value=df.y2[0], min=0.0)
tit_model.set_param_hint("S1_1", value=df.y1.iloc[-1], min=0.0)
tit_model.set_param_hint("S1_2", value=df.y2.iloc[-1], min=0.0)
pars = tit_model.make_params()
# res = tit_model.fit([df.y1, df.y2], pars, x=df.x)
res = tit_model.fit(np.r_[df.y1, df.y2], pars, x=df.x)
print(res.fit_report())
[[Model]]
Model(tit_pH2)
[[Fit Statistics]]
# fitting method = leastsq
# function evals = 37
# data points = 14
# variables = 5
chi-square = 12471473.3
reduced chi-square = 1385719.25
Akaike info crit = 201.798560
Bayesian info crit = 204.993846
R-squared = 0.99794717
[[Variables]]
S0_1: 26601.3458 +/- 1425.69913 (5.36%) (init = 29657)
S0_2: 25084.4189 +/- 1337.07982 (5.33%) (init = 22885)
S1_1: 54034.5806 +/- 627.642479 (1.16%) (init = 51205)
S1_2: 1473.57871 +/- 616.944649 (41.87%) (init = 1358)
K: 8.07255029 +/- 0.07600777 (0.94%) (init = 7)
[[Correlations]] (unreported correlations are < 0.100)
C(S0_1, K) = -0.6816
C(S0_2, K) = +0.6255
C(S0_1, S0_2) = -0.4264
C(S1_1, K) = -0.3611
C(S1_2, K) = +0.3161
C(S0_2, S1_1) = -0.2259
C(S0_1, S1_2) = -0.2155
C(S1_1, S1_2) = -0.1141
[44]:
dely = res.eval_uncertainty(x=xfit)
[45]:
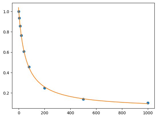
def fit_pH(fp):
df = pd.read_csv(fp)
def tit_pH(x, SA, SB, pK):
return (SB + SA * 10 ** (pK - x)) / (1 + 10 ** (pK - x))
mod = lmfit.Model(tit_pH)
pars = mod.make_params(SA=10000, SB=7e3, pK=7)
result = mod.fit(df.y2, pars, x=df.x)
return result, df.y2, df.x, mod
# r,y,x,model = fit_pH("/home/dati/ibf/IBF/Database/Random mutag results/Liasan-analyses/2016-05-19/2014-02-20/pH/dat/C12.dat")
r, y, x, model = fit_pH("../../tests/data/H04.dat")
xfit = np.linspace(x.min(), x.max(), 50)
dely = r.eval_uncertainty(x=xfit) * 1
best_fit = r.eval(x=xfit)
plt.plot(x, y, "o")
plt.plot(xfit, best_fit, "-.")
plt.fill_between(xfit, best_fit - dely, best_fit + dely, color="#FEDCBA", alpha=0.5)
r.conf_interval(sigmas=[2])
print(r.ci_report(with_offset=False, ndigits=2))
99.73% 95.45% 68.27% _BEST_ 68.27% 95.45% 99.73%
SA:2338.404511.625450.156052.536642.137512.329321.96
SB:33406.9634609.8235170.9935544.4435920.0736492.8937756.24
pK: 6.47 6.60 6.66 6.70 6.74 6.80 6.93

[46]:
g = r.plot()

[47]:
print(r.ci_report())
99.73% 95.45% 68.27% _BEST_ 68.27% 95.45% 99.73%
SA:-3714.13150-1540.91238-602.378536052.53269+589.59734+1459.78928+3269.42485
SB:-2137.47758-934.62678-373.4502035544.44185+375.62906+948.44608+2211.79840
pK: -0.23398 -0.10021 -0.03976 6.70123 +0.03971 +0.09989 +0.23227
1.3.5. using clophfit.fitting#
[48]:
dictionary = df.loc[:, ["y1", "y2"]].to_dict(orient="series")
dictionary = {key: value.to_numpy() for key, value in dictionary.items()}
ds_data = {k: DataArray(df.x.to_numpy(), v) for k, v in dictionary.items()}
ds = Dataset(ds_data, True)
weight_multi_ds_titration(ds)
f_res2 = fit_binding_glob(ds)
f_res2.figure
[48]:

[49]:
emcee_res2 = f_res2.mini.emcee(
steps=4000, burn=100, workers=8, nwalkers=40, seed=1, progress=False
)
plot_emcee(emcee_res2.flatchain)
print_emcee(emcee_res2)
Maximum Likelihood Estimation from emcee
-------------------------------------------------
Parameter MLE Value Median Value Uncertainty
K 8.07614 8.07714 0.00619
S0_y1 26543.08580 26548.47265 487.71916
S1_y1 54021.61778 54014.79613 272.25820
S0_y2 25124.27984 25135.15322 86.44378
S1_y2 1482.81003 1484.14522 34.86561
Error estimates from emcee:
------------------------------------------------------
Parameter -2sigma -1sigma median +1sigma +2sigma
K 8.0645 8.0710 8.0771 8.0834 8.0890
S0_y1 25551.9306 26056.5515 26548.4726 27032.2618 27479.8990
S1_y1 53471.7368 53744.8416 54014.7961 54289.4558 54547.3439
S0_y2 24961.7659 25050.2102 25135.1532 25223.1320 25306.2069
S1_y2 1411.8671 1449.0614 1484.1452 1518.8152 1550.0377
Maximum Likelihood Estimation (MLE):
----------------------------------
K: 8.076
S0_y1: 26543.086
S1_y1: 54021.618
S0_y2: 25124.280
S1_y2: 1482.810
1 sigma spread = 0.006
2 sigma spread = 0.012

1.4. Model: example 2P Cl–ratio#
[50]:
filepath = "../../tests/data/ratio2P.txt"
df = pd.read_table(filepath)
def R_Cl(cl, R0, R1, K):
return (R1 * cl + R0 * K) / (K + cl)
def fit_Rcl(df):
mod = lmfit.Model(R_Cl)
# pars = mod.make_params(R0=0.8, R1=0.05, K=10)
pars = lmfit.Parameters()
pars.add("R0", value=df.R[0], min=0.2, max=1.2)
pars.add("R1", value=0.05, min=-0.4, max=0.6)
pars.add("K", value=10, min=0, max=60)
result = mod.fit(df.R, pars, cl=df.cl)
return result, mod
def plot_fit(result, x, y):
"""Plot the original data and the best fit line with uncertainty."""
xfit = np.linspace(x.min(), x.max(), 50)
dely = result.eval_uncertainty(cl=xfit) * 3
best_fit = result.eval(cl=xfit)
plt.plot(x, y, "o")
plt.grid()
plt.plot(xfit, best_fit, "-.")
plt.fill_between(xfit, best_fit - dely, best_fit + dely, color="#FEDCBA", alpha=0.5)
result.conf_interval(sigmas=[2])
print(result.ci_report(with_offset=False, ndigits=2))
result, model = fit_Rcl(df)
plot_fit(result, df.cl, df.R)
99.73% 95.45% 68.27% _BEST_ 68.27% 95.45% 99.73%
R0: 0.49 0.58 0.60 0.61 0.62 0.64 0.73
R1: -0.30 -0.01 0.03 0.04 0.06 0.09 0.20
K : 2.95 10.09 12.51 13.66 14.91 18.49 59.97

[51]:
emcee_kws = {
"is_weighted": False,
"steps": 2000,
"burn": 150,
"thin": 20,
"nwalkers": 60,
"seed": 11,
"workers": 8,
"progress": False,
}
emcee_params = result.params.copy()
emcee_params.add("__lnsigma", value=np.log(0.1), min=np.log(0.001), max=np.log(2.0))
result_emcee = model.fit(
data=df.R,
cl=df.cl,
params=emcee_params,
method="emcee",
scale_covar=1,
nan_policy="omit",
fit_kws=emcee_kws,
)
The chain is shorter than 50 times the integrated autocorrelation time for 4 parameter(s). Use this estimate with caution and run a longer chain!
N/50 = 40;
tau: [54.12650929 56.38269627 57.08247281 77.33835245]
[52]:
lmfit.report_fit(result_emcee)
[[Fit Statistics]]
# fitting method = emcee
# function evals = 120000
# data points = 5
# variables = 4
chi-square = 1.40834078
reduced chi-square = 1.40834078
Akaike info crit = 1.66487173
Bayesian info crit = 0.10262338
R-squared = 0.99943912
[[Variables]]
R0: 0.60658530 +/- 0.00856014 (1.41%) (init = 0.6071065)
R1: 0.04269082 +/- 0.01450760 (33.98%) (init = 0.04390396)
K: 13.8404294 +/- 1.30385885 (9.42%) (init = 13.66125)
__lnsigma: -4.88977049 +/- 0.61411679 (12.56%) (init = -2.302585)
[[Correlations]] (unreported correlations are < 0.100)
C(R1, K) = -0.7107
C(R0, K) = -0.5762
C(K, __lnsigma) = +0.5364
C(R1, __lnsigma) = -0.3551
C(R0, __lnsigma) = -0.2932
C(R0, R1) = +0.2521
[53]:
f = plot_emcee(result_emcee.flatchain)
WARNING:root:Too few points to create valid contours
WARNING:root:Too few points to create valid contours
WARNING:root:Too few points to create valid contours

[54]:
print_emcee(result_emcee)
Maximum Likelihood Estimation from emcee
-------------------------------------------------
Parameter MLE Value Median Value Uncertainty
R0 0.60760 0.60659 0.00856
R1 0.04425 0.04269 0.01451
K 13.55654 13.84043 1.30386
__lnsigma -5.53509 -4.88977 0.61412
Error estimates from emcee:
------------------------------------------------------
Parameter -2sigma -1sigma median +1sigma +2sigma
R0 0.5604 0.5973 0.6066 0.6144 0.6287
R1 -0.0603 0.0262 0.0427 0.0553 0.0771
K 10.9896 12.7596 13.8404 15.3680 25.8966
__lnsigma -5.7295 -5.3727 -4.8898 -4.1443 -3.0701
Maximum Likelihood Estimation (MLE):
----------------------------------
R0: 0.608
R1: 0.044
K: 13.557
__lnsigma: -5.535
1 sigma spread = 1.304
2 sigma spread = 10.216
[55]:
def residual(pars, x, data=None):
"""Model a decaying sine wave and subtract data."""
vals = pars.valuesdict()
R0 = vals["R0"]
R1 = vals["R1"]
K = vals["K"]
model = R_Cl(x, R0, R1, K)
if data is None:
return model
return model - data
params = lmfit.Parameters()
params.add("R0", value=df["R"][0], min=0, max=1)
params.add("R1", value=df["R"].iloc[-1], min=0, max=0.2)
target_y = (df["R"][0] + df["R"].iloc[-1]) / 2
k_initial = df["cl"][np.argmin(np.abs(df["R"] - target_y))]
params.add("K", value=k_initial, min=3, max=30)
mini = lmfit.Minimizer(residual, params, fcn_args=(df["cl"], df["R"]))
result = mini.minimize()
# Print a report of the fit
lmfit.report_fit(result)
[[Fit Statistics]]
# fitting method = leastsq
# function evals = 17
# data points = 5
# variables = 3
chi-square = 7.7647e-05
reduced chi-square = 3.8823e-05
Akaike info crit = -49.3638870
Bayesian info crit = -50.5355732
[[Variables]]
R0: 0.60710648 +/- 0.00619718 (1.02%) (init = 0.608)
R1: 0.04390398 +/- 0.01031368 (23.49%) (init = 0.122)
K: 13.6612513 +/- 0.89507585 (6.55%) (init = 10)
[[Correlations]] (unreported correlations are < 0.100)
C(R1, K) = -0.8613
C(R0, K) = -0.4239
C(R0, R1) = +0.1482
[56]:
emcee_params.add("__lnsigma", value=np.log(0.1), min=np.log(0.01), max=np.log(0.1))
emcee_res3 = mini.emcee(
steps=4000,
burn=300,
workers=16,
nwalkers=30,
seed=1,
is_weighted=False,
progress=False,
)
plot_emcee(emcee_res3.flatchain)
print_emcee(emcee_res3)
# out = lmfit.minimize(residual, params, args=(df["cl"],), kws={'data': df["R"]})
The chain is shorter than 50 times the integrated autocorrelation time for 2 parameter(s). Use this estimate with caution and run a longer chain!
N/50 = 80;
tau: [ 61.97148089 108.67255944 60.11927196 181.4364394 ]
WARNING:root:Too few points to create valid contours
Maximum Likelihood Estimation from emcee
-------------------------------------------------
Parameter MLE Value Median Value Uncertainty
R0 0.60765 0.60662 0.00761
R1 0.04433 0.04295 0.01272
K 13.60662 13.75881 1.12722
__lnsigma -5.53113 -4.92972 0.54164
Error estimates from emcee:
------------------------------------------------------
Parameter -2sigma -1sigma median +1sigma +2sigma
R0 0.5808 0.5986 0.6066 0.6139 0.6263
R1 0.0111 0.0300 0.0429 0.0554 0.0772
K 10.9249 12.7183 13.7588 14.9738 16.9608
__lnsigma -5.7561 -5.3999 -4.9297 -4.3161 -3.5822
Maximum Likelihood Estimation (MLE):
----------------------------------
R0: 0.608
R1: 0.044
K: 13.607
__lnsigma: -5.531
1 sigma spread = 1.129
2 sigma spread = 3.112

[57]:
import pymc as pm
with pm.Model() as model:
R0 = pm.Normal("R0", mu=result.params["R0"].value, sigma=result.params["R0"].stderr)
R1 = pm.Normal("R1", mu=result.params["R1"].value, sigma=result.params["R1"].stderr)
K = pm.Normal("K", mu=result.params["K"].value, sigma=result.params["K"].stderr)
y_pred = pm.Deterministic("y_pred", R_Cl(df["cl"], R0, R1, K))
likelihood = pm.Normal("y", mu=y_pred, sigma=1, observed=df["R"])
trace = pm.sample(2000, tune=2000, chains=6, cores=8)
Initializing NUTS using jitter+adapt_diag...
INFO:pymc.sampling.mcmc:Initializing NUTS using jitter+adapt_diag...
Multiprocess sampling (6 chains in 6 jobs)
INFO:pymc.sampling.mcmc:Multiprocess sampling (6 chains in 6 jobs)
NUTS: [R0, R1, K]
INFO:pymc.sampling.mcmc:NUTS: [R0, R1, K]
Sampling 6 chains for 2_000 tune and 2_000 draw iterations (12_000 + 12_000 draws total) took 6 seconds.
INFO:pymc.sampling.mcmc:Sampling 6 chains for 2_000 tune and 2_000 draw iterations (12_000 + 12_000 draws total) took 6 seconds.
[58]:
R0_samples = trace.posterior["R0"]
az.hdi(R0_samples, hdi_prob=0.95)["R0"]
[58]:
<xarray.DataArray 'R0' (hdi: 2)> Size: 16B array([0.5951825 , 0.61928481]) Coordinates: * hdi (hdi) <U6 48B 'lower' 'higher'
[59]:
# Extract the posterior samples for the parameters of interest
K_samples = trace.posterior["K"].to_numpy().flatten()
R0_samples = trace.posterior["R0"].to_numpy().flatten()
R1_samples = trace.posterior["R1"].to_numpy().flatten()
# Ensure the samples are in the correct format for the corner plot
samples_array = np.column_stack([K_samples, R0_samples, R1_samples])
# Plot the corner plot
f = corner.corner(samples_array, labels=["K", "R0", "R1"])

[60]:
ax = az.plot_pair(
trace,
divergences=1,
var_names=["K", "R0", "R1"],
kind=["kde", "scatter"],
kde_kwargs={"fill_last": False},
marginals=True,
point_estimate="mean",
figsize=(9, 9),
)

[61]:
pm.plot_trace(trace)
[61]:
array([[<Axes: title={'center': 'R0'}>, <Axes: title={'center': 'R0'}>],
[<Axes: title={'center': 'R1'}>, <Axes: title={'center': 'R1'}>],
[<Axes: title={'center': 'K'}>, <Axes: title={'center': 'K'}>],
[<Axes: title={'center': 'y_pred'}>,
<Axes: title={'center': 'y_pred'}>]], dtype=object)

[62]:
pm.plot_posterior(
trace,
var_names=["R0", "R1", "K"],
figsize=(12, 4),
textsize=12,
)
[62]:
array([<Axes: title={'center': 'R0'}>, <Axes: title={'center': 'R1'}>,
<Axes: title={'center': 'K'}>], dtype=object)
